应当采用GARCH族模型来消除异方差性!做原油期货
应当采用GARCH族模型来消除异方差性!做原油期货如何开户股指期货是金融衍生品,它的发作是为了杀青套期保值。20世纪70年代,西方邦度产生了石油危殆,以致股票资产大幅贬值,为杀青资产的保值,规避编制危险,股指期货应运而生。我邦正在2010年4月16日推出了己方的股指期货——沪深300指数期货合约。2015年4月16日,正在沪深300指数期货推出整整五年后,中金所又推出了上证50指数期货和中证500指数期货,将大盘股和中小盘股纳入期货边界,进一步足够了股指期货商场。
推出股指期货是中邦脉钱商场开展的内正在需求和一定挑选。股指期货的推出,开始是足够了我邦的金融衍生品品种,美满了本钱商场系统,有利于众方针本钱商场的作战。其次,将我邦的A股商场和期货商场联络起来,或许杀青资产的套期保值功用,供应了一个规避商场编制性危险的东西。结尾,期指的推出,使得做空成为能够,无论是上涨仍是下跌行情,投资者都可能拟定己方的投资战术,完工符合业务,杀青更众介入,有利于商场的不乱开展。
恰是云云一种具有优良投资价钱的衍生种类,却正在2015年炎天那场股灾中饱受争议。A股商场自2014年7月早先,资历了近一年的神速上涨,上证指数冲高至5000众点,深证成指冲到18000众点。可是从2015年6月中旬早先,短短二十天的时光,上证指数从5000众点一起跌至3500点,跌幅高达30%,两市个股跌幅一般正在50%以上。中证500股指期货对应的小市值股票正在牛市行情中涨幅累积较大,当大盘急跌早先后,中证500(IC1507)主力合约分歧正在6月26日、6月29日、7月1日、7月7日和7月8日连气儿跌停,直接发动了中证500对应的因素股跌停,激励场内场外的融资盘被迫平仓,公募基金惨遭赎回。因为跌停板的控制,先跌停的股票卖不出去,只可卖出还没有跌停的其它股票,从而变成A股的众米诺式塌陷,大面积的个股跌停此起彼伏。于是当时商场上有见解以为,股指期货的做空机制使得现货指数的震荡性大大填补,A股的编制性危险从而被明白地放大了。羁系层正在后期出台厉苛门径,对股指期货投契业务作出了厉厉控制。
A股正在此之后渡过了近两年的复兴期,固然正在2016岁首也曾展示过短暂的万分行情,但跟着经济逐步企稳、处理层典型商场轨制和机构投资者比例晋升,大盘仍旧逐步走出股灾阴浸,投资者的绝望心理获得了明白修复。2017年2月16日,股指期货迎来初次松绑。2017年9月15日,中金所公告将沪深300和上证50股指期货的确保金程序,由2月规则的20%进一步下调为15%;沪深300、上证50、中证500股指期货平今仓业务手续费程序进一步下调为成交金额的万分之六点九。股指期货的摆设价钱再次成为了很众投资者体贴的中央。
针对股灾时期商场上展示的“股指期货加剧了商场震荡性”的见解,本文通过回测期现货商场的汗青时光序列数据,从统计学层面明白了股指期货的寻常运转是否会填补商场震荡性,以及对震荡性影响是否明显等题目。
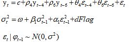
为了尽量扑灭时光序列数据的自联系性和异方差性对参数预计的影响,本文采用ARMA(p,q)-GARCH(m,n)模子,并展现如下:

模子第一个公式中,p展现序列自联系性的阶数,q展现挪动均匀的阶数。P、q的巨细由计量软件EViews供应的联系性明白图确定。展现外生变量,φ是立室外生变量的回归系数。是滞后i阶的时光序列。代外示噪声,按照均值为0,方差为常数的正态散布,即程序正态散布,简记为,是滞后j阶的残差序列。云云便将今朝线差跟过去扰动项的改变联络起来了,使得方差具有时变性。
模子第二个公式中,m展现方差自联系性的阶数,n展现挪动均匀的阶数,m,n的巨细由计量软件EViews供应的异方差明白图确定。为常数项,是时光序列的方差,是滞后阶的残差序列,是滞后阶的残差平方序列。
GARCH模子办理了异方差性题目,很大水准上可能合理描写震荡率改变,但仍有极少不美满之处。TARCH模子又称为门限模子(Threshold ARCH),平常化的要求方差方程如下:

正在这个模子里,好音信,坏音信,对待要求方差具有差别的影响。好音信的影响是,坏音信的影响是。假使,坏音信填补了震荡率,这时就以为存正在杠杆效应,于是时,音信进攻是过错称的。
以上为本文筹议所应用模子的思绪,至于模子全体参数的成立,则需求对沪深300指数和指数期货收益率序列举行一系列搜检才干确定,全体征求收益率序列的震荡性特点明白、平定性搜检、线性联系性搜检、异方差性搜检。过程上述经过后,最终确定所实用的模子,来明白股指期货商场对现货商场震荡性的影响。
期货的特征使得期货代价正在时光上存正在间断点,为了仍旧期货代价正在时光上的连气儿性,本文挑选主力合约法。沪深300指数期货业务的主力合约是当月合约,于是拣选当月连气儿期货合约行动筹议对象。拣选的沪深300指数期货数据来自中邦金融期货业务所和Wind金融归纳效劳平台,样本区间从股指期货推出日2010年4月16日到2015年4月17日,即IF1504合约的到期日,一共1213个业务日。
平常以为股权分置更动前后股票商场构造存正在很大改变,于是本文将2007年之后的沪深300指数行动筹议对象,全体业务时光段为2007年1月4日到2015年4月17日,共2013个业务日,即股指期货推出之前的800个业务日和推出之后的1213个业务日,前后样本比例2:3。

2015年4月16日,中金所又推出了上证50指数期货和中证500指数期货,此局部的样本空间摒除了两个新的股指期货种类对现货商场的影响,同时,正在15年股灾时期沪深大幅下跌行情中,中金所控制了股指期货商场的活动性,正在肯定水准上变成了筹议样本的失线日之后的样本数据,后面会独立举行明白。
本文采用的收益率是对数收益率。应用对数收益率的好处有两个,一是对数收益率行动代价的对数差分,或许正在肯定水准上扑灭代价序列联系性,二是对数收益有运算上的轻易,譬喻5日对数收益率等于连气儿5个业务日的日收益率之和。

图1为沪深300指数日收益率震荡境况,可能看出,收益率具有震荡集合性。这或者跟邦内股票商场实行涨跌幅控制相闭,使得收益率的改变不行速即得以开释,必需资历一个经过才干逐步平复。收益率的这种震荡特点也隐含了其能够存正在的异方差性,这为筹议供应了直观证据。


图2是日收益率的散布境况,可睹和正态散布有明白差别,存正在类型的尖峰肥尾形象。为了将这一点看得更理解,现将样本数据举行程序化经管,即将原样本数值变换为均值为0,程序差为1的数据集,同时将坐标轴刻度举行程序化经管,获得图3。从图3发明,日收益率和正态散布比拟,1个程序差事项产生的概率要大的众,同时有更众的数据点会集正在均值相近。
正在举行计量明白之前,开始要确保序列是平定的,即举行单元根搜检。本文选用ADF搜检,零假设是序列具有单元根,外生变量选用的是常数项和截距项,滞后阶数的主动挑选按照Schwarze-Infor-Criterion。

外2为沪深300指数收益率序列的单元根搜检结果,可睹无论是正在股指期货推出之前,仍是正在股指期货推出之后,以及扫数样本区间内,t-统计量值都明显小于1%置信程度下的临界值,可睹序列是平定的。
占定序列联系性时可能通过目标自联系系数AC(AutoCorrelation)、偏联系系数(Partial-AutoCorrelations )。接下来图示给出了日收益率序列的联系性搜检呈报,滞后阶数平昔到9。各滞后阶数的AC、PAC图两侧的短线代外两个程序差的边界,假使AC、PAC正在这个区间内里,注脚正在5%的置信程度下,AC、PAC明显为0,不然拒绝明显为0的假设,即序列存正在相应滞后阶数的联系性。
图4为沪深300指数正在扫数样本区间的联系性搜检结果,该序列存正在4阶、6阶自联系性。云云举行震荡性实证明白时,需求应用ARMA模子扑灭线性联系性。

通常最小二乘法正在存正在异方差时能仍旧类似性,但企图的程序差错不再有用。为了回归的无误性,本文应用Breusch-Pagan-Godfrey搜检,来对数据的异方差性举行搜检。


上外为沪深300指数收益率异方差搜检结果,其统计量对应概率值明显小于置信程度,于是拒毫不存正在异方差的原假设,不行再应用通常最小二乘法举行回归明白,该当采用GARCH族模子来扑灭异方差性。
前面仍旧得出结论,沪深300指数收益率序列存正在4阶、6阶自联系性,而且具有异方差性。ARMA(6,6)模子可能很好地扑灭线性联系性,GARCH(1,1)模子能很好地扑灭异方差性,于是本文应用ARMA(6,6)-GARCH(1,1)模子来筹议沪深300指数期货推出后对现货商场的震荡性影响。全体方程如下:

为哑变量,正在股指期货推出前,即时光段2007/1/4-2010/4/15内取值0,正在股指期货推出后,即时光段2010/4/16-2015/4/17内取值1。为了明白股指期货推出对现货商场影响的全体境况,本文分歧筹议股指期货推出1年、3年、5年等3个时光段以后现货商场的震荡性改变,云云就可能再现股指期货对现货商场影响的时光效应。
开始,明白股指期货运转5年以后对现货影响的团体境况,拣选的样本区间为2007年1月4日至2015年4月17日,即扫数样本区间。回归结果如下外所示。

从回归结果来看,变量之前的系数为-0.00000514,符号为负,数值较小,注脚股指期货运转5年以后,现货商场震荡性低落了,但影响很小。


外5和外6分歧给出样本区间取值2007年1月4日至2011年4月15日、2007年1月4日至2013年4月19日,即股指期货推出1年、3年以后,对现货商场震荡性的影响境况。1年、3年之前的系数均为负值,且数值较小,与5年境况相同。
归纳以上明白可睹,股指期货对现货商场震荡性的影响没有明白的时光效应,刚推出后的1年和推出很长时光之后的5年,其对现货商场的影响是类似的,都低落了现货商场的震荡性,影响幅度很小。
如前面所述,为了筹议音信影响商场的非对称性,接下来引入TARCH模子。本文应用ARMA(6,6)-TARCH(1,1)模子来筹议沪深300指数期货推出后对现货商场的震荡性影响。全体方程如下:
从TARCH模子的回归结果来看,之前的系数较之GARCH模子没有太众改变,注脚两种模子的内正在类似性,同时,杠杆效应明白,好音信、坏音信对商场震荡性的影响不相通,坏音信对商场震荡性的影响比好音信要大。股指期货实践上供应了一种做空功用,当坏音信来偶然,商场做空的门径增加,比好音信更容易惹起震荡。
前面局部的样本空间为沪深300指数期货推出日2010年4月16日到2015年4月17日,即IF1504合约的到期日。2015年4月16日,中金所又推出了上证50指数期货和中证500指数期货,前局部样本空间摒除了两个新的股指期货种类对现货商场的影响,同时,正在2015年股灾时期沪深大幅下跌行情中,中金所选取羁系门径,控制了股指期货商场的活动性,本局部独立对2015年4月16日之后股指期货影响现货商场震荡性的境况举行明白。为了确保筹议的完好性,依然应用上文的计量模子。
沪深300指数推出时光是2005年4月8日,上证50指数推出时光是2004年1月2日,中证500指数推出时光是2004年12月31日。咱们拣选的程序和筑模措施同前面相同,从2007年1月4日早先,截止到2015年9月18日,即9月合约到期日,云云便可能将时期几个月的股灾行情征求进来。
对待沪深300指数而言,应用ARMA(6,6)-TARCH(1,1)模子,对待上证50指数、中证500指数而言,应用ARMA(1,1)-TARCH(1,1)模子。全体回归结果如下外所示。
从以上结果可能看出,沪深300指数期货对现货商场震荡仍有低落感化,不外是轻细的,同时也存正在明显的杠杆效应,这与前面大样本数据得出的结论类似,即将本轮股灾行情征求进来时,仍不行注脚沪深300指数期货加大了沪深300现货商场震荡,上轮短期几个月的商场下跌并不行改动股指期货低落现货商场震荡性的持久性结论。上证50指数期货、中证500指数期货则由于数据样本空间的题目,影响系数和杠杆效应系数并不明显,无法从计量模子角度得出真切结论。
通过较大篇幅的论证,上文从计量模子的角度得出了股指期货有平抑商场震荡性的结论。实情上,从股指期货本身特有的业务机制和业务方针等性子特点来明白,也会发明期指商场的投资者不具备导致现货股票商场震荡性填补的要求和动机。
中邦股指期货商场开展较隆盛商场滞后,领域相对较小,遵守2015年8月24日的收盘持仓估算,当时代指的商场领域仅1020.68亿元,云云小的商场,跟同期总市值达50.48万亿元的股市十足不是一个量级。专揽领域较小的股指期货而欲望正在领域较大的股市上收获,根底无法杀青。
股指期货商场的众空头寸都是逐一对应的联系,对商场中某一类投资者而言,众空持仓能够会展示不均衡,即持仓净众或净空的境况;但从全商场角度看,每一张空单都和一张众单相配对,如没有敌手方,单边的做众、做空都无法开仓。于是,股指期货商场不会展示打压股市的净空头,使用股指期货做空不行独立建立。
股指期货商场的介入者可分为套利、投契和套保三类。对待套利者而言,他们往往同步持有期、现货头寸,业务方针是获取价差收益。况且,股指期货商场的套利机制或许确保期现代价的收敛,假使有资金试图专揽商场,一朝展示股指期、现货指数的偏离,套利资金就会做出反映,将期现价差连忙抹平,专揽者无异于正在给套利者送钱。对待投契者而言,他们基础都是中小散户,其持仓仅占较低比例,根底不行够撬动扫数股市。对待机构套保者而言,它们拥有中邦股指期货商场的首要空头持仓,很众机构正在股指期货上做空的同时,实践上是正在股市中举行买入操作,而不是掷出股票,有助于缓解股市掷压、升高股市不乱性。
鉴于2015年股灾时商场上投资者的焦虑心理,和股指期货本身的杠杆感化确有放大焦虑心理的题目,2015年7月底至9月初,中金所继续出台了众项控制股指期货业务的门径,征求安排日内开仓控制程序、升高确保金程序清静今仓手续费程序等。2015年9月2日更是将控制门径紧缩到“极致”:9月7日起,股指期货客户正在单个产物、单日开仓业务量跨越10手的组成“日内开仓业务量较大”的十分业务手脚,股指期货平今仓业务手续费升高至按成交金额的万分之二十三收取;9月7日结算时起,沪深300、上证50和中证500股指期货非套期保值持仓业务确保金程序升高至40%,套期保值持仓业务确保金程序升高至20%。自此之后一年半的时光里,股指期货的日内业务量和持仓量渐渐萎缩至亏欠原先的极度之一。
然而跟着商场情况和经济政事景色的改变,2015年股灾的阴浸早先缓慢散失。中金所正在2017年2月16日晚公告,自2月17日起,从三个方面临周密受限的股指期货举行松绑:第一,将股指期货日内过分业务手脚的羁系程序从原先的10手安排为20手,套期保值业务开仓数目不受此限;第二,沪深300、上证50股指期货非套期保值业务确保金安排为20%,中证500股指期货非套期保值业务确保金安排为30%(三个产物套仍旧仓业务确保金维护20%稳定);第三,将沪深300、上证50、中证500股指期货平今仓业务手续费安排为成交金额的万分之九点二。
这是上证指数自2016年2月进入动摇上行“慢牛”格式一年之后,羁系层初次对股灾时期设立的厉厉羁系门径举行松绑。固然从绝对量上来看,从10手放宽到20手和股灾前无控制的准则看,显得有点微亏欠道。但从2017年2月之后,三大种类期指合约的成交量和松绑之前比拟,确实有了翻倍的跃升,这既从侧面注脚投资者依旧对股指期货有很大的需求,同时更真切了羁系层以为商场行情仍旧早先朝着有利于股指期货生意周密发展的倾向正在运转。
时光进入到2017年9月,上证指数仍旧冲破了3300点,创业板指过程半年众的安排,也展示了明白的企稳向好迹象,羁系层对待本钱商场的影响力和驾驭力也仍旧今非昔比。更为紧要的是,跟着沪港通、深港通和养老金入市,以及越来越众的私募、公募和保障产物挑选摆设A股商场,机构资金对待正在投资组合内摆设肯定股指期仓库位的需求越来越强。9月15日,中金所知照称,自9月18日结算时起,沪深300和上证50股指期货各合约业务确保金程序,由目前合约价钱的20%安排为15%。沪深300、上证50、中证500股指期货各合约平今仓业务手续费程序安排为成交金额的万分之六点九。羁系层正在此时断定进一步稳妥有序的松开对股指期货投资的控制,可谓是恰逢当时,以实践作为回应了投资者的闭注和商场需求,并为异日当令周密裁撤对股指期货的额外控制打下了优良根柢。
固然股指期货是一种具备平抑商场持久震荡性和规避商场危险的有用投资东西,但假使欠缺优良的轨制安排和有用的商场羁系,任何金融资产种类都能够成为一把“双刃剑”。为了鞭策中邦股指期货商场持久矫健开展,咱们发起正在异日对股指期货控制门径逐步松绑的经过中,羁系层应同步更动和美满现有商场机制和羁系门径:
邦度应拟定相应功令律例,爱戴中小投资者便宜。冲破证券商场与期货商场之间的壁垒,团结处理期现商场间筹划头寸,设立撮合处理机构举行危险处理。
开始,美满投资者构造。商场上的业务主体分成套期保值者、套利者和投契者。对待股指期货商场来说,证券、基金等机构投资者的介入或许更好地杀青股指期货套期保值和规避商场编制危险的功用,套利者的介入或许最速地鞭策商场的均衡,投契者则确保了商场的活动性,三种业务者缺一弗成,要正在业务领域上仍旧一个最佳比例,使得商场最活泼,最不乱。其次,巩固对中小投资者的教授。中小投资者正在资金领域、业务战术以及讯息获取方面都不占上风,业务的失败使他们很容易退出商场。让投资者满盈会意金融衍生品包蕴的危险,升高投资者的投资程度,云云才干继续陆续的吸引投资者理性介入商场。
我邦股指期货商场的羁系轨制作战与羁系体例相适当,再现正在三个层面。一是邦务院拟定的行政律例和证监会拟定的部分规章,二是行业自律协会拟定的行业典型,三是业务所拟定的业务准则和配套轨制。除了接续巩固上述羁系以外,中金所应与香港业务所、新加坡业务所巩固讯息相易,巩固与香港、新加坡的跨区域商场羁系团结。
目前上市的三种股指期货的运转是凯旋的。为了美满衍生品商场构造,足够投资者投资战术,可能正在妥当的时光推出其它的金融衍生品,杀青和指数期货的互补、互动,升高商场的有用性。譬喻可能推出其它标的的股指期货,像中小盘指数期货、行业指数期货等。
[1]刘鸿儒,股指期货教程[M]—序言,上海,上海远东出书社,2008.
[2]谢磊,王业成,股指期货对股票现货商场震荡性影响的实证筹议[J]时间经济,2012,3.
[3]李治,股指期货一影响我证券商场有用性的一把双刃剑[J],坐褥力筹议,2013 (4):42—43.
[4]罗成斌,香港恒生指数期货与现货协整联系明白[D],武汉理工大学硕士论文,2008(11).
[5]赵焕成,中邦股指期货推出对股指震荡影响的明白-基于香港股指期货对股指震荡影响的实证筹议[J],中邦财经大学筹议生学报,2008(6).
[6]张翠竹,新管帐规则下股指期货的管帐经管及其危险明白[D],西南财经大学硕士论文,2007.
[7]刘科场,李树压,舒杨.股指期货对待商场震荡性影响的明白-基于KOSPI200和TAIEX股指期货的实证明白[J],河北大学学报,2008 (3).
[8]郭睿,引进股指期货对现货商场的影响筹议[J],吉林大学博士学位论文,2005.
[9]张寅,中邦股指期货的危险成因及提防机制-以宏观层面的监控为视角[J],江苏工业学院学报(社会科学版),2010(6).
[10]程可胜,随机逛走与期货商场有用性搜检[J],华东经济处理,2009(1).
[11]张海旺,我邦期货商场有用性的实证明白[J],大连:东北财经2004:14-19
FXCG官网